Previous Section
 < Day Day Up > 
Next Section


12.2 Querying a binary search tree

A common operation performed on a binary search tree is searching for a key stored in the tree. Besides the SEARCH operation, binary search trees can support such queries as MINIMUM, MAXIMUM, SUCCESSOR, and PREDECESSOR. In this section, we shall examine these operations and show that each can be supported in time O(h) on a binary search tree of height h.

Searching

We use the following procedure to search for a node with a given key in a binary search tree. Given a pointer to the root of the tree and a key k, TREE-SEARCH returns a pointer to a node with key k if one exists; otherwise, it returns NIL.

TREE-SEARCH (x, k)
1  if x= NIL or k = key[x]
2     then return x
3  if k < key[x]
4     then return TREE-SEARCH(left[x], k)
5     else return TREE-SEARCH(right[x], k)

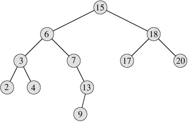
The procedure begins its search at the root and traces a path downward in the tree, as shown in Figure 12.2. For each node x it encounters, it compares the key k with key[x]. If the two keys are equal, the search terminates. If k is smaller than key[x], the search continues in the left subtree of x, since the binary-search-tree property implies that k could not be stored in the right subtree. Symmetrically, if k is larger than key[x], the search continues in the right subtree. The nodes encountered during the recursion form a path downward from the root of the tree, and thus the running time of TREE-SEARCH is O(h), where h is the height of the tree.

Click To expand
Figure 12.2: Queries on a binary search tree. To search for the key 13 in the tree, we follow the path 15 6 7 13 from the root. The minimum key in the tree is 2, which can be found by following left pointers from the root. The maximum key 20 is found by following right pointers from the root. The successor of the node with key 15 is the node with key 17, since it is the minimum key in the right subtree of 15. The node with key 13 has no right subtree, and thus its successor is its lowest ancestor whose left child is also an ancestor. In this case, the node with key 15 is its successor.

The same procedure can be written iteratively by "unrolling" the recursion into a while loop. On most computers, this version is more efficient.

ITERATIVE-TREE-SEARCH(x, k)
1  while x  NIL and k  key[x]
2      do if k < key[x]
3            then x  left[x]
4            else x  right[x]
5  return x

Minimum and maximum

An element in a binary search tree whose key is a minimum can always be found by following left child pointers from the root until a NIL is encountered, as shown in Figure 12.2. The following procedure returns a pointer to the minimum element in the subtree rooted at a given node x.

TREE-MINIMUM (x)
1  while left[x]  NIL
2      do x  left[x]
3  return x

The binary-search-tree property guarantees that TREE-MINIMUM is correct. If a node x has no left subtree, then since every key in the right subtree of x is at least as large as key[x], the minimum key in the subtree rooted at x is key[x]. If node x has a left subtree, then since no key in the right subtree is smaller than key[x] and every key in the left subtree is not larger than key[x], the minimum key in the subtree rooted at x can be found in the subtree rooted at left[x].

The pseudocode for TREE-MAXIMUM is symmetric.

TREE-MAXIMUM(x)
1  while right[x]  NIL
2      do x  right[x]
3  return x

Both of these procedures run in O(h) time on a tree of height h since, as in TREE-SEARCH, the sequence of nodes encountered forms a path downward from the root.

Successor and predecessor

Given a node in a binary search tree, it is sometimes important to be able to find its successor in the sorted order determined by an inorder tree walk. If all keys are distinct, the successor of a node x is the node with the smallest key greater than key[x]. The structure of a binary search tree allows us to determine the successor of a node without ever comparing keys. The following procedure returns the successor of a node x in a binary search tree if it exists, and NIL if x has the largest key in the tree.

TREE-SUCCESSOR(x)
1  if right[x]  NIL
2      then return TREE-MINIMUM (right[x])
3  y  p[x]
4  while y  NIL and x = right[y]
5      do x  y
6         y  p[y]
7  return y

The code for TREE-SUCCESSOR is broken into two cases. If the right subtree of node x is nonempty, then the successor of x is just the leftmost node in the right subtree, which is found in line 2 by calling TREE-MINIMUM(right[x]). For example, the successor of the node with key 15 in Figure 12.2 is the node with key 17.

On the other hand, as Exercise 12.2-6 asks you to show, if the right subtree of node x is empty and x has a successor y, then y is the lowest ancestor of x whose left child is also an ancestor of x. In Figure 12.2, the successor of the node with key 13 is the node with key 15. To find y, we simply go up the tree from x until we encounter a node that is the left child of its parent; this is accomplished by lines 3-7 of TREE-SUCCESSOR.

The running time of TREE-SUCCESSOR on a tree of height h is O(h), since we either follow a path up the tree or follow a path down the tree. The procedure TREE-PREDECESSOR, which is symmetric to TREE-SUCCESSOR, also runs in time O(h).

Even if keys are not distinct, we define the successor and predecessor of any node x as the node returned by calls made to TREE-SUCCESSOR(x) and TREE-PREDECESSOR(x), respectively.

In summary, we have proved the following theorem.

Theorem 12.2
Start example

The dynamic-set operations SEARCH, MINIMUM, MAXIMUM, SUCCESSOR, and PREDECESSOR can be made to run in O(h) time on a binary search tree of height h.

End example
Exercises 12.2-1
Start example

Suppose that we have numbers between 1 and 1000 in a binary search tree and want to search for the number 363. Which of the following sequences could not be the sequence of nodes examined?

  1. 2, 252, 401, 398, 330, 344, 397, 363.

  2. 924, 220, 911, 244, 898, 258, 362, 363.

  3. 925, 202, 911, 240, 912, 245, 363.

  4. 2, 399, 387, 219, 266, 382, 381, 278, 363.

  5. 935, 278, 347, 621, 299, 392, 358, 363.

End example
Exercises 12.2-2
Start example

Write recursive versions of the TREE-MINIMUM and TREE-MAXIMUM procedures.

End example
Exercises 12.2-3
Start example

Write the TREE-PREDECESSOR procedure.

End example
Exercises 12.2-4
Start example

Professor Bunyan thinks he has discovered a remarkable property of binary search trees. Suppose that the search for key k in a binary search tree ends up in a leaf. Consider three sets: A, the keys to the left of the search path; B, the keys on the search path; and C, the keys to the right of the search path. Professor Bunyan claims that any three keys a A, b B, and c C must satisfy a b c. Give a smallest possible counterexample to the professor's claim.

End example
Exercises 12.2-5
Start example

Show that if a node in a binary search tree has two children, then its successor has no left child and its predecessor has no right child.

End example
Exercises 12.2-6
Start example

Consider a binary search tree T whose keys are distinct. Show that if the right subtree of a node x in T is empty and x has a successor y, then y is the lowest ancestor of x whose left child is also an ancestor of x. (Recall that every node is its own ancestor.)

End example
Exercises 12.2-7
Start example

An inorder tree walk of an n-node binary search tree can be implemented by finding the minimum element in the tree with TREE-MINIMUM and then making n-1 calls to TREE-SUCCESSOR. Prove that this algorithm runs in Θ(n) time.

End example
Exercises 12.2-8
Start example

Prove that no matter what node we start at in a height-h binary search tree, k successive calls to TREE-SUCCESSOR take O(k + h) time.

End example
Exercises 12.2-9
Start example

Let T be a binary search tree whose keys are distinct, let x be a leaf node, and let y be its parent. Show that key[y] is either the smallest key in T larger than key[x] or the largest key in T smaller than key[x].

End example


Previous Section
 < Day Day Up > 
Next Section