Previous Section
 < Day Day Up > 
Next Section


13.3 Insertion

Insertion of a node into an n-node red-black tree can be accomplished in O(lg n) time. We use a slightly modified version of the TREE-INSERT procedure (Section 12.3) to insert node z into the tree T as if it were an ordinary binary search tree, and then we color z red. To guarantee that the red-black properties are pre- served, we then call an auxiliary procedure RB-INSERT-FIXUP to recolor nodes and perform rotations. The call RB-INSERT(T, z) inserts node z, whose key field is assumed to have already been filled in, into the red-black tree T.

RB-INSERT(T, z)
 1  y  nil[T]
 2  x  root[T]
 3  while x  nil[T]
 4      do y  x
 5         if key[z] < key[x]
 6            then x  left[x]
 7            else x  right[x]
 8  p[z]  y
 9  if y = nil[T]
10     then root[T]  z
11     else if key[z] < key[y]
12             then left[y]  z
13             else right[y]  z
14  left[z]  nil[T]
15  right[z]  nil[T]
16  color[z]  RED
17  RB-INSERT-FIXUP(T, z)

There are four differences between the procedures TREE-INSERT and RB-INSERT. First, all instances of NIL in TREE-INSERT are replaced by nil[T]. Second, we set left[z] and right[z] to nil[T] in lines 14-15 of RB-INSERT, in order to maintain the proper tree structure. Third, we color z red in line 16. Fourth, because coloring z red may cause a violation of one of the red-black properties, we call RB-INSERT-FIXUP(T, z) in line 17 of RB-INSERT to restore the red-black properties.

RB-INSERT-FIXUP(T, z)
 1 while color[p[z]] = RED
 2     do if p[z] = left[p[p[z]]]
 3           then y  right[p[p[z]]]
 4                if color[y] = RED
 5                   then color[p[z]]  BLACK                     Case 1
 6                        color[y]  BLACK                        Case 1
 7                        color[p[p[z]]]  RED                    Case 1
 8                        z  p[p[z]]                             Case 1
 9                   else if z = right[p[z]]
10                           then z  p[z]                        Case 2
11                                LEFT-ROTATE(T, z)               Case 2
12                           color[p[z]]  BLACK                  Case 3
13                           color[p[p[z]]]  RED                 Case 3
14                           RIGHT-ROTATE(T, p[p[z]])             Case 3
15           else (same as then clause
                         with "right" and "left" exchanged)
16 color[root[T]]  BLACK

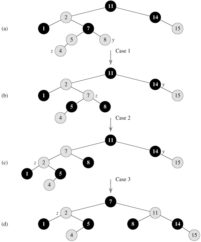
To understand how RB-INSERT-FIXUP works, we shall break our examination of the code into three major steps. First, we shall determine what violations of the red-black properties are introduced in RB-INSERT when the node z is inserted and colored red. Second, we shall examine the overall goal of the while loop in lines 1-15. Finally, we shall explore each of the three cases[1] into which the while loop is broken and see how they accomplish the goal. Figure 13.4 shows how RB-INSERT-FIXUP operates on a sample red-black tree.

Click To expand
Figure 13.4: The operation of RB-INSERT-FIXUP. (a) A node z after insertion. Since z and its parent p[z] are both red, a violation of property 4 occurs. Since z's uncle y is red, case 1 in the code can be applied. Nodes are recolored and the pointer z is moved up the tree, resulting in the tree shown in (b). Once again, z and its parent are both red, but z's uncle y is black. Since z is the right child of p[z], case 2 can be applied. A left rotation is performed, and the tree that results is shown in (c). Now z is the left child of its parent, and case 3 can be applied. A right rotation yields the tree in (d), which is a legal red-black tree.

Which of the red-black properties can be violated upon the call to RB-INSERT-FIXUP? Property 1 certainly continues to hold, as does property 3, since both children of the newly inserted red node are the sentinel nil[T]. Property 5, which says that the number of black nodes is the same on every path from a given node, is satisfied as well, because node z replaces the (black) sentinel, and node z is red with sentinel children. Thus, the only properties that might be violated are property 2, which requires the root to be black, and property 4, which says that a red node cannot have a red child. Both possible violations are due to z being colored red. Property 2 is violated if z is the root, and property 4 is violated if z's parent is red. Figure 13.4(a) shows a violation of property 4 after the node z has been inserted.

The while loop in lines 1-15 maintains the following three-part invariant:

At the start of each iteration of the loop,

  1. Node z is red.

  2. If p[z] is the root, then p[z] is black.

  3. If there is a violation of the red-black properties, there is at most one violation, and it is of either property 2 or property 4. If there is a violation of property 2, it occurs because z is the root and is red. If there is a violation of property 4, it occurs because both z and p[z] are red.

Part (c), which deals with violations of red-black properties, is more central to showing that RB-INSERT-FIXUP restores the red-black properties than parts (a) and (b), which we use along the way to understand situations in the code. Because we will be focusing on node z and nodes near it in the tree, it is helpful to know from part (a) that z is red. We shall use part (b) to show that the node p[p[z]] exists when we reference it in lines 2, 3, 7, 8, 13, and 14.

Recall that we need to show that a loop invariant is true prior to the first iteration of the loop, that each iteration maintains the loop invariant, and that the loop invariant gives us a useful property at loop termination.

We start with the initialization and termination arguments. Then, as we examine how the body of the loop works in more detail, we shall argue that the loop maintains the invariant upon each iteration. Along the way, we will also demonstrate that there are two possible outcomes of each iteration of the loop: the pointer z moves up the tree, or some rotations are performed and the loop terminates.

Case 1: z's uncle y is red

Figure 13.5 shows the situation for case 1 (lines 5-8). Case 1 is executed when both p[z] and y are red. Since p[p[z]] is black, we can color both p[z] and y black, thereby fixing the problem of z and p[z] both being red, and color p[p[z]] red, thereby maintaining property 5. We then repeat the while loop with p[p[z]] as the new node z. The pointer z moves up two levels in the tree.

Click To expand
Figure 13.5: Case 1 of the procedure RB-INSERT. Property 4 is violated, since z and its parent p[z] are both red. The same action is taken whether (a) z is a right child or (b) z is a left child. Each of the subtrees α, β, γ, δ, and ε has a black root, and each has the same black-height. The code for case 1 changes the colors of some nodes, preserving property 5: all downward paths from a node to a leaf have the same number of blacks. The while loop continues with node z's grandparent p[p[z]] as the new z. Any violation of property 4 can now occur only between the new z, which is red, and its parent, if it is red as well.

Now we show that case 1 maintains the loop invariant at the start of the next iteration. We use z to denote node z in the current iteration, and z p[p[z]] to denote the node z at the test in line 1 upon the next iteration.

  1. Because this iteration colors p[p[z]] red, node z is red at the start of the next iteration.

  2. The node p[z] is p[p[p[z]]] in this iteration, and the color of this node does not change. If this node is the root, it was black prior to this iteration, and it remains black at the start of the next iteration.

  3. We have already argued that case 1 maintains property 5, and it clearly does not introduce a violation of properties 1 or 3.

    If node z is the root at the start of the next iteration, then case 1 corrected the lone violation of property 4 in this iteration. Since z is red and it is the root, property 2 becomes the only one that is violated, and this violation is due to z.

    If node z is not the root at the start of the next iteration, then case 1 has not created a violation of property 2. Case 1 corrected the lone violation of property 4 that existed at the start of this iteration. It then made z red and left p[z] alone. If p[z] was black, there is no violation of property 4. If p[z] was red, coloring z red created one violation of property 4 between z and p[z].

Case 2: z's uncle y is black and z is a right child

Case 3: z's uncle y is black and z is a left child

In cases 2 and 3, the color of z's uncle y is black. The two cases are distinguished by whether z is a right or left child of p[z]. Lines 10-11 constitute case 2, which is shown in Figure 13.6 together with case 3. In case 2, node z is a right child of its parent. We immediately use a left rotation to transform the situation into case 3 (lines 12-14), in which node z is a left child. Because both z and p[z] are red, the rotation affects neither the black-height of nodes nor property 5. Whether we enter case 3 directly or through case 2, z's uncle y is black, since otherwise we would have executed case 1. Additionally, the node p[p[z]] exists, since we have argued that this node existed at the time that lines 2 and 3 were executed, and after moving z up one level in line 10 and then down one level in line 11, the identity of p[p[z]] remains unchanged. In case 3, we execute some color changes and a right rotation, which preserve property 5, and then, since we no longer have two red nodes in a row, we are done. The body of the while loop is not executed another time, since p[z] is now black.

Click To expand
Figure 13.6: Cases 2 and 3 of the procedure RB-INSERT. As in case 1, property 4 is violated in either case 2 or case 3 because z and its parent p[z] are both red. Each of the subtrees α, β, γ, and δ has a black root (α, β, and γ from property 4, and δ because otherwise we would be in case 1), and each has the same black-height. Case 2 is transformed into case 3 by a left rotation, which preserves property 5: all downward paths from a node to a leaf have the same number of blacks. Case 3 causes some color changes and a right rotation, which also preserve property 5. The while loop then terminates, because property 4 is satisfied: there are no longer two red nodes in a row.

Now we show that cases 2 and 3 maintain the loop invariant. (As we have just argued, p[z] will be black upon the next test in line 1, and the loop body will not execute again.)

  1. Case 2 makes z point to p[z], which is red. No further change to z or its color occurs in cases 2 and 3.

  2. Case 3 makes p[z] black, so that if p[z] is the root at the start of the next iteration, it is black.

  3. As in case 1, properties 1, 3, and 5 are maintained in cases 2 and 3.

    Since node z is not the root in cases 2 and 3, we know that there is no violation of property 2. Cases 2 and 3 do not introduce a violation of property 2, since the only node that is made red becomes a child of a black node by the rotation in case 3.

    Cases 2 and 3 correct the lone violation of property 4, and they do not intro- duce another violation.

Having shown that each iteration of the loop maintains the invariant, we have shown that RB-INSERT-FIXUP correctly restores the red-black properties.

Analysis

What is the running time of RB-INSERT? Since the height of a red-black tree on n nodes is O(lg n), lines 1-16 of RB-INSERT take O(lg n) time. In RB-INSERT- FIXUP, the while loop repeats only if case 1 is executed, and then the pointer z moves two levels up the tree. The total number of times the while loop can be executed is therefore O(lg n). Thus, RB-INSERT takes a total of O(lg n) time. Interestingly, it never performs more than two rotations, since the while loop terminates if case 2 or case 3 is executed.

Exercises 13.3-1
Start example

In line 16 of RB-INSERT, we set the color of the newly inserted node z to red. Notice that if we had chosen to set z's color to black, then property 4 of a red-black tree would not be violated. Why didn't we choose to set z's color to black?

End example
Exercises 13.3-2
Start example

Show the red-black trees that result after successively inserting the keys 41, 38, 31, 12, 19, 8 into an initially empty red-black tree.

End example
Exercises 13.3-3
Start example

Suppose that the black-height of each of the subtrees α, β, γ, δ, ε in Figures 13.5 and 13.6 is k. Label each node in each figure with its black-height to verify that property 5 is preserved by the indicated transformation.

End example
Exercises 13.3-4
Start example

Professor Teach is concerned that RB-INSERT-FIXUP might set color[nil[T]] to RED, in which case the test in line 1 would not cause the loop to terminate when z is the root. Show that the professor's concern is unfounded by arguing that RB-INSERT-FIXUP never sets color[nil[T]] to RED.

End example
Exercises 13.3-5
Start example

Consider a red-black tree formed by inserting n nodes with RB-INSERT. Argue that if n > 1, the tree has at least one red node.

End example
Exercises 13.3-6
Start example

Suggest how to implement RB-INSERT efficiently if the representation for red-black trees includes no storage for parent pointers.

End example

[1]Case 2 falls through into case 3, and so these two cases are not mutually exclusive.



Previous Section
 < Day Day Up > 
Next Section